CHP’den bakana soru: Suriyelilerin kimlik bilgileri nasıl ele geçti, nasıl yayıldı?
İklim, Çevre ve Şehircilik Bakanı Mehmet Özhaseki, Meclis'teki bir soru önergesine verdiği yanıtta yabancıların aldığı konut ve arsa sayılarıyla ilgili detaylı bilgi verdi. Afganlar en çok arsa ve konut alan ülkeler arasında 4. sırada yer alırken, Almanya ve İngiltere ilk sırada yer aldı.
CHP İstanbul Milletvekili Özgür Karabat İklim, Çevre ve Şehircilik Bakanlığı’na verdiği yazılı soru önergesinde 2022 yılından bugüne kadar yabancılara satılan konut ve arazi sayılarına ilişkin verileri istedi.
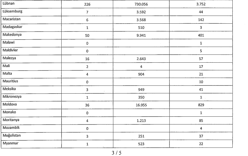
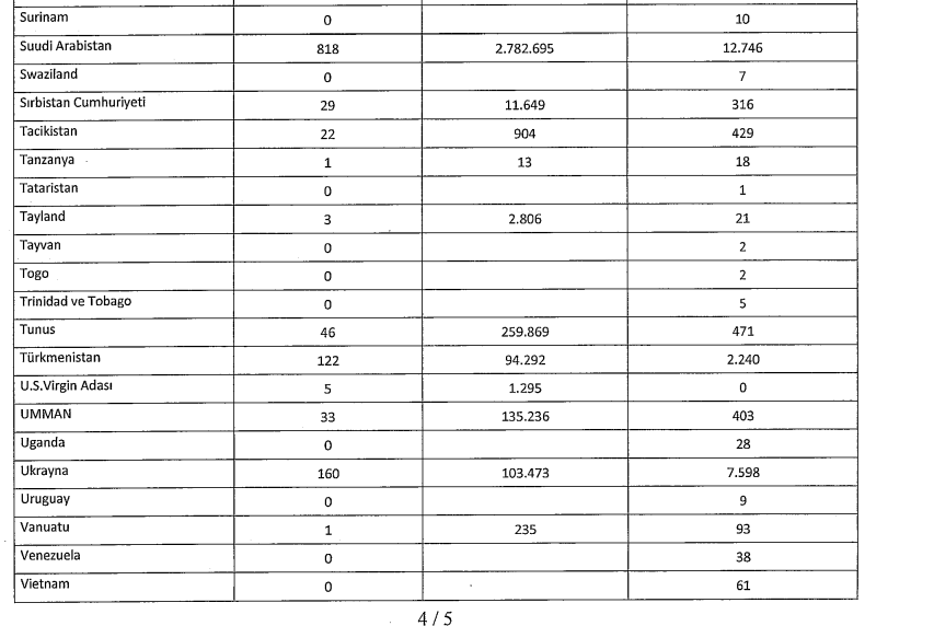
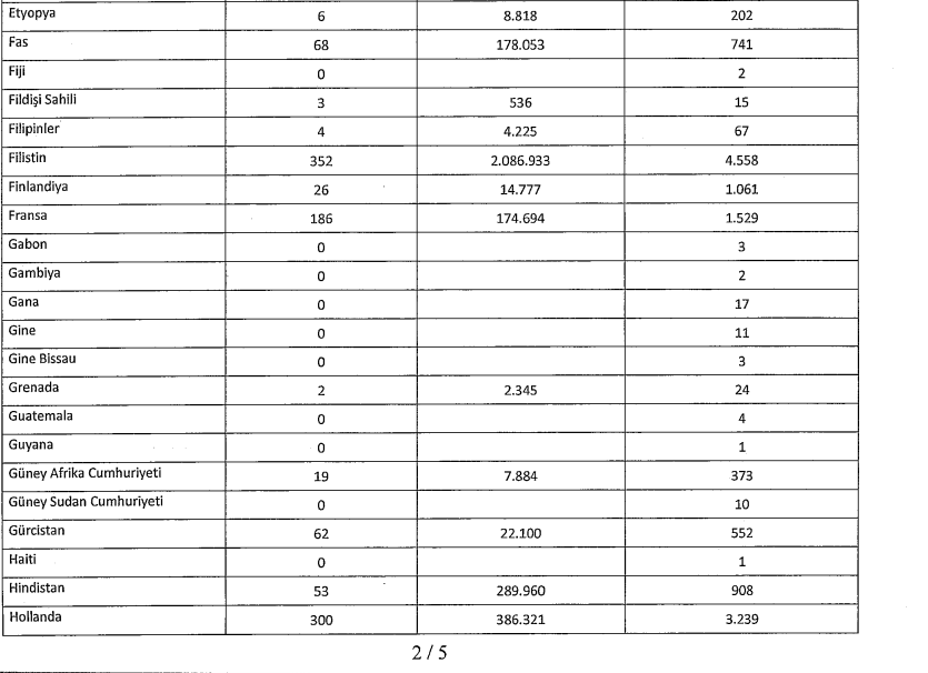
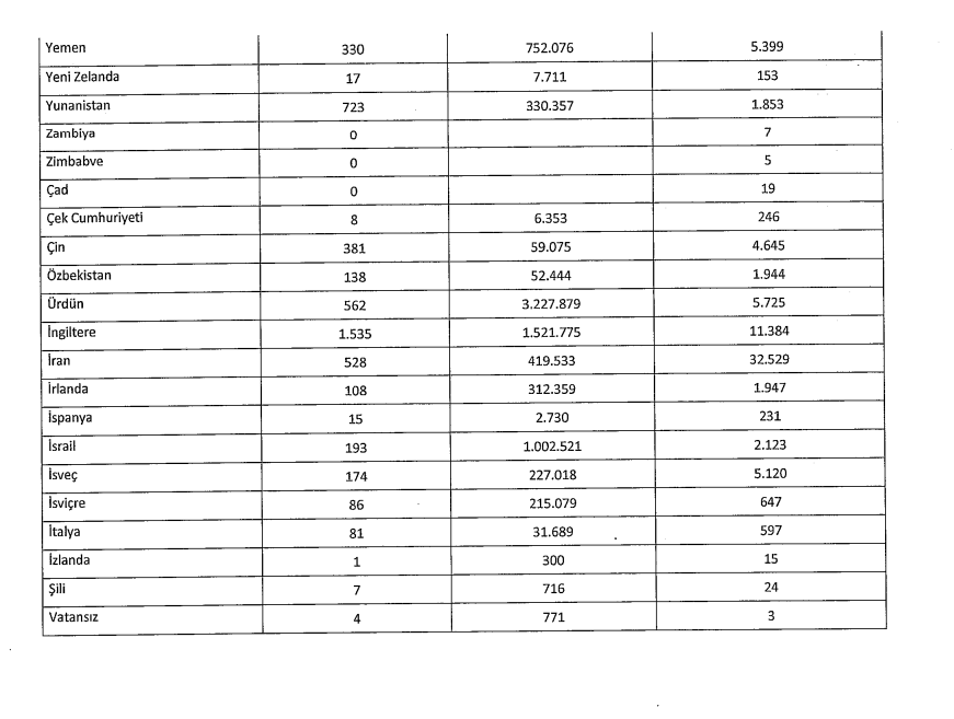
Özgür Karabat’ın yazılı soru önergesine İklim, Çevre ve Şehircilik Bakanı Mehmet Özhaseki tarafından cevap verildi. Bakan tarafından verilen detaylı yanıtta dünyada hangi ülke vatandaşının ne kadar konut ve arsa aldığı sayılarıyla birlikte yazıldı. Bakanlığın verdiği yanıtta 1 Ocak 2002’den 19 Temmuz 2023’e kadar yabancılara 28 milyon 320 bin 28 metrekare arazi, 289 bin 412 adet konut-işyeri satıldı. Bu dönemde satılan arazi satış adedi ise 15 bin 812 oldu.
Özhaseki’nin verdiği yanıtta en çok arazi ve konut alan ülke vatandaşların arasında Afganistan dördüncü sırada yer aldı. En çok arazi ve konut alan ülkeler şöyle:
Almanya bin 784 adet, İngiltere bin 535 adet, Irak bin 220 adet, Afganistan 837 adet, Suudi Arabistan 818 adet, Kuveyt 634 adet, Rusya 633 adet, İran 528 adet.
Soru önergesine verilen yanıtı paylaşan CHP İstanbul Milletvekili Özgür Karabat şöyle konuştu:
“Yabancılara yapılan kanun ve arazi satışları milli güvenlik meselesi haline doğru ilerliyor. Bu sorun hem güvenlik hem de ekonomik sıkıntılar doğuruyor. Sorgusuz sualsiz yabancılara satış yapılması nedeniyle, Türkiye uluslararası suçluların merkezi haline geldi. Hemen hemen her ay bir uluslararası suçlunun bu yolla Türkiye’ye yerleştiği ortaya çıkıyor. Uyuşturucu, kara para, silah kaçakçılığı gibi suç işleyenler Türkiye’ye gelerek hem paralarını aklıyorlar hem de vatandaşlık alarak kendilerini korumaya alıyorlar. Korkunç bir durumla karşı karşıyayız.”
Listede Suriyelilerin olmaması ise dikkat çekti. Suriyeliler 1927 yılında çıkarılan Mukabele-i Bilmisil Kanunu’ndan dolayı Türkiye’den arazi veya konut alamıyor. Bugün de Suriyelilerin aldığı konut ve araziler kurulan şirketler üzerinden alınıyor. Avukat Ruşen Gültekin bu konu daha önce gündeme geldiğinde sosyal medya hesabından “Türkiye’de hiçbir Suriyeli taşınmaz satın alamaz. 1927 tarih 1062 sayılı Mukabele-i Bilmisil Kanunu yürürlüktedir. Bu Kanun uyarınca Suriye’nin Türklerin taşınmazlarına el koymaları üzerine, bu kanun çıkarılmış ve Suriyelilerin Türkiye’de mevcut bütün taşınmazlarına el konulmuştur. Suriye uyruklularının yeni taşınmaz edinimi de yasaklanmıştır” demişti. Bu kanun halen yürürlükte bulunuyor.
Independent Türkçe’ye konuşan Avukat Ali Güven Kiraz da Suriyelilerin Türkiye’den mülk alamadığını söyledi.
Türkiye ile Suriye arasında gayrimenkullerin karşılıklı tasfiyesi anlaşması olduğunu ifade eden Kiraz, bundan dolayı hiçbir Suriyelinin Türkiye’den, hiçbir Türk vatandaşının da Suriye’den gayrimenkul alamayacağını belirtti. 2012’de kaldırılan Türkiye tarafından tek taraflı kaldırılan mütekabiliyet düzenlemesinin de Suriyelilerin durumunu değiştirmediğini söyleyen Kiraz, Suriye vatandaşlarının Kuzey Kore, Küba, Güney Kıbrıs ile birlikte Türkiye’de mülk satın alma hakkı olmayan dört ülkeden biri olduğunu kaydetti. Kiraz, bu dört ülke dışında bütün ülkelerin Türkiye’den mülk alabildiğini hatta bunlar içerisinde ülkesinde Türk vatandaşlarına mülk satmayan Suudi Arabistan gibi ülkelerin de olduğunu dile getirdi.
Bakanlığın CHP Milletvekili Özgür Karabat ile paylaştığı tam liste şöyle:



